When the DSM elements represent design components (i.e. component-based DSM) or teams within a development project (i.e. people-based DSM), the goal of the matrix manipulation changes significantly from that of sequencing algorithms. The new goal becomes finding subsets of DSM elements (i.e. clusters or modules) that are mutually exclusive or minimally interacting subsets, i.e. clusters as groups of elements that are interconnected among themselves to an important extent while being little connected to the rest of the system. This process is referred to as “Clustering”.
In other words, clusters absorb most, if not all, of the interactions (i.e. DSM marks) internally and the interactions or links between separate clusters are eliminated or at least minimized.
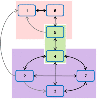
As a simple example, consider a development process that includes seven participants as shown in the DSM, below. Note that the interactions between different participants are also shown in the DSM. If we were to form several development teams within this project, what will be the number of teams required and the membership of each team?
Clustering the DSM for this project will provide us with insights into optimal team formations based on the degree of interactions among participants.
If the above DSM was rearranged in the following manner (as shown below). One possible team assignment is:
| Team 1 | participants 1, 5 and 6 |
| Team 2 | participants 4 and 5 |
| Team 3 | participants 2, 3, 4 and 7 |
Note that by making participant 4 a member of both teams 2 and 3, we were able to absorb more interactions internally within a team without unnecessarily increasing the team size (by including participant 5 in team 3).


